“闭上眼睛,屏蔽视觉干扰,就能听得更清楚”——这一深入人心的常识,在嘈杂的真实环境中真的成立吗?近日,振动、冲击、噪声研究所蒋伟康教授、黄煜副教授团队在多感官交互调控听觉感知领域取得突破性进展。该团队首次证实并揭示了在噪声环境下,“睁开眼睛”反而更能提升听觉感知能力的神经机制与行为规律,颠覆“闭眼助听”的传统公众认知。
相关研究成果以“Visual engagement modulates cortical criticality and auditory target detection thresholds in noisy soundscapes”为题,于3月17日发表在声学领域知名期刊《The Journal of the Acoustical Society of America》(JASA)上。该研究因其极高的应用价值与颠覆性的创新意义,被美国物理联合会(AIP)选为新闻报道论文,并相继获得德国广播电台、美国Everyday Health、荷兰电视台等国际媒体的专题报道,在国际学界和公众视野中引发广泛关注。研究生倪珂为论文第一作者,黄煜副教授为通讯作者。

打破常识:“闭眼助听”在噪声环境中为何失效?
在日常生活中,人们普遍认为闭眼能减少视觉干扰,从而提升听力。这一“经验之谈”在绝对安静的环境下确实得到了过往科学研究的佐证。然而,现实世界往往充满了交通轰鸣、人群喧闹等背景噪声。在例如“鸡尾酒会”这样复杂的真实场景中,闭眼真的还能起到“助听”效果吗?针对这一悬而未决的问题,研究团队开展了行为学与神经生理实验,填补了该领域的研究空白。
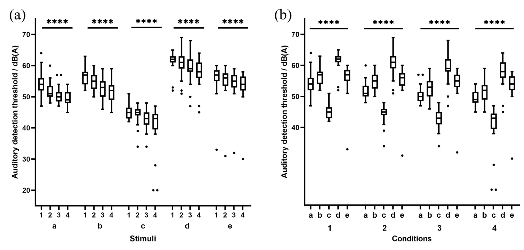
研究团队在半消声室中构建了70分贝粉红噪声的模拟噪声环境,并选取划独木舟、鼓声、云雀鸣叫、火车行驶、键盘敲击五种典型生态声音作为听觉目标。实验设置了四种视觉状态:闭眼、睁眼看空白板、睁眼看对应静态图像、睁眼看对应动态视频。通过对正常听力受试者进行严格的听觉检测阈值测试,团队量化了不同视觉状态对听力的实际影响。

五种典型生态声音听觉目标
意外发现:视觉参与是噪声环境下的“听力放大器”
实验结果给出了令人意外的结论:与大众传统认知截然相反,在噪声环境下,闭眼不仅不能助听,反而会使听觉检测阈值平均升高1.32分贝,显著降低人耳对微弱声音的捕捉能力。
相反,“睁眼”状态展现出了强大的听觉增强效果:
• 即使仅仅是睁眼看空白板,也能有效降低听觉阈值;
• 当受试者观看与声音匹配的静态图像时,阈值降低了1.60分贝;
• 当观看动态视频时,听力提升效果最为显著,阈值大幅降低了2.98分贝。
此外,研究还证实,这种视觉对听觉的“正向调控”规律对不同类型的生态声音具有高度的普适性。

五种听觉刺激、四种视觉条件下的目标检测听阈
揭秘大脑:首次引入“皮层临界态”解释多感官交互
为什么睁眼反而听得更清?研究团队同步利用脑电图(EEG)技术,引入了“雪崩临界指数(ACI)”,基于神经动力学来探究大脑的“幕后操作”。
神经机制分析表明:当人们在噪声环境中闭上眼睛时,大脑皮层会被驱动趋近于一种“临界态”。在这种状态下,大脑启动了“过度滤波效应”——它在努力抑制嘈杂背景噪声的同时,也不慎将微弱的目标声音信号一起“屏蔽”掉了。而视觉的参与(睁眼),则像是一把钥匙,能让大脑脱离这种过度滤波的束缚,激活跨模态的神经资源,从而切实增强听觉皮层对微弱信号的敏感度和感知力。

五种听觉刺激、四种视觉条件下的雪崩临界指数
应用广阔:为智能安全与听力康复提供新思路
该研究首次将皮层临界态理论引入视听交互研究,建立了噪声环境下“视觉状态−皮层神经动态−听觉感知阈值”的关联模型。它不仅从根本上纠正了大众关于“闭眼助听”的认知误区,也极大地推动了学术界对大脑多感官整合加工机制的理解。
这一发现具有极高的现实指导意义。在未来,该成果可直接应用于监控室、驾驶舱等高噪音、高安全要求岗位的人机交互设计;同时,也为听力障碍人群的康复干预提供了全新视角,为研发“结合视觉语境的下一代智能助听设备”奠定了坚实的理论基础。
该研究工作得到了国家自然科学基金的资助。
论文链接:https://doi.org/10.1121/10.0042380
